Italian study: little difference between autonomous and conventional mowing |
|
|
|
|
 |
| 78 sec |
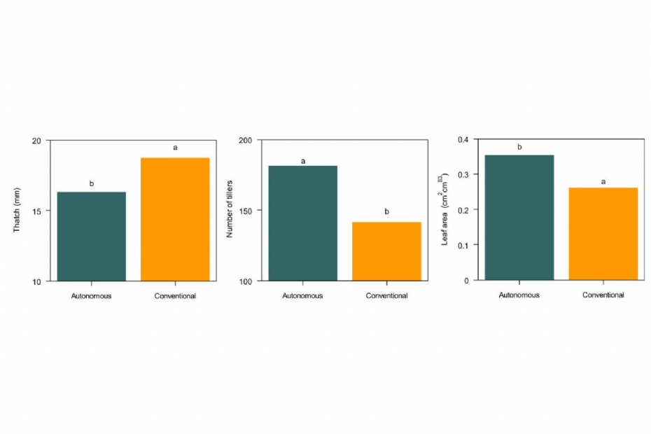
less thatch and higher shoot density with autonomous mowing
A field trial conducted by the University of Padua, led by researcher Stefano Macolino, shows that a sports field consisting of 100 percent Kentucky bluegrass (Poa pratensis) maintains comparable quality under both autonomous and conventional mowing. However, mowing with the robot resulted in less thatch and a higher shoot density.
| Husqvarna Ceora on the golf course |
The study was conducted from autumn 2023 to spring 2024 in Legnaro, northeastern Italy. Two mowing systems were compared on Kentucky bluegrass: conventional mowing with a mulching mower (weekly at 39 mm) and autonomous mowing with a robot (daily at 33 mm).
 | | Stefano Macolino |
|
|
comparable turf quality, minor NDVI differences
Conventional mowing yielded better turf quality in September, but from November onward there were no significant differences between the two mowing systems. The researchers note that the turf may need some time to adjust to the higher mowing frequency of the robot. NDVI values also showed little variation between the systems, except in October when the robot-mown plots displayed slightly higher values. This suggests that the autonomous mower did not place additional stress on the vegetation.
 | | less thatch, more shoots and higher NDVI |
|
|
less thatch, more shoots with robot
Differences in morphological characteristics were more pronounced. The turf mown daily with the autonomous mower developed significantly higher shoot density and more leaf surface per volume unit. The thatch layer was also noticeably thinner in these plots. According to the researchers, this is due to the autonomous system producing fewer grass clippings, which decompose more quickly. In addition, the higher mowing frequency stimulates the plant to produce new shoots, resulting in a denser sward with finer leaves.
good performance in cooler months, uncertainties for summer
Kentucky bluegrass is known as a so-called cool season grass and is widely used on sports fields and lawns in temperate climates. However, the researchers warn that this performance may change under high temperatures and drought. The grass can enter summer dormancy. For the Dutch climate, this does not appear to be relevant.
conclusion
Although the study does not demonstrate an improvement in turf quality with autonomous mowing, there are clear benefits in terms of thatch management and shoot development. This may ultimately lead to reduced maintenance and potentially lower disease pressure.
|
source
Comparing autonomous and conventional mowing: Effects on Kentucky bluegrass quality and morphology, International Turfgrass Society Research Journal 2025, Stefano Macolino, Alberto Novello, Christina Pornaro.
|
This article was originally published on June 9, 2025 on the Greenkeeper website.
| LOG IN
with your email address to respond.
|
|
|
| There are no comments yet. |
|
| |
Anyone can place small ads for free through their own account.
Place a free ad
|
|
|
|